加密市场全面走低,通缩叙事如何驱动代币价值?
前几日,白宫首届加密峰会落下帷幕,而它带来的影响才刚刚开始......
BTC 价格应声跌破 8 万美元。加密市场面临自 LUNA 崩盘以来的最大规模清算。投资者对风险的敏感度显著提升,资金加速流向具备抗跌属性的项目。与此同时,投资者对代币经济模型的审视愈加严格,一个关键问题浮现:是否存在一种能够抵御市场波动、穿越牛熊周期的代币模型?

来源:Bravos Research
与以太坊的挣扎形成鲜明对比的是比特币的四年减半周期。每次减半后,新币产出速度减半,稀缺性推动价格进入上升通道——这一机制让比特币历经多次熊市仍保持通缩属性,成为加密市场唯一跨越周期的“数字黄金”。
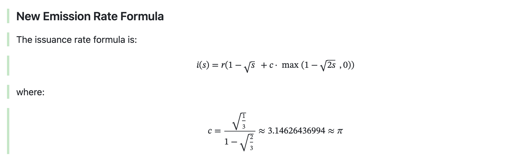
这一逻辑正在被更多项目借鉴。例如本轮周期大热的 Solana 生态,代币 SOL 开启的 SIMD-0228 提案投票,正是试图通过动态调整通胀率来平衡生态激励与价值存储。该提案由 Multicoin Capital 的 Tushar Jain 等人提出,核心机制是:当 SOL 质押率超过 50% 时减少发行量以抑制通胀,低于 50% 时则增加发行以激励质押。这种“弹性通胀”设计揭示了一个关键原则——通缩不是对通胀的全盘否定,而是与之动态博弈的制衡工具。

通缩机制的三重价值
在当前的逆周期环境中,通缩机制的价值愈发凸显,其突破口在于三个层面:
首先,稀缺性溢价。当流通量增速低于需求增速时,代币价值自然上升。
其次,抗通胀属性。在法币超发与监管冲击下,通缩代币成为资金避风港。
最后,社区共识强化。面向社区的透明销毁行为,传递出项目方长期承诺,吸引价值投资者而非短期投机者。
但要实现这些价值,需要具体的工具支撑。当前主流通缩机制包括:
代币销毁:是将部分流通代币转入黑洞地址,比如 BONK 的链上每日销毁。
质押锁仓:通过收益激励长期持有,比如 Solana 的质押率动态调整机制 SIMD-0228 提案。
生态消耗:是将代币作为 Gas 费或抵押品,形成使用即销毁的正循环。
通缩设计的微观样本
$BONK 在这轮疯狂震荡的市场中表现相对稳定,笔者研究发现其具备多层次通缩模型。该模型的核心是链上透明的销毁机制,包括生态交互自动销毁,事件驱动的大规模销毁,在整个震荡的市场中持续减少自身流通量,实现通缩经济。一定程度上实现了“跟涨不跟跌”
每日销毁机制接入了 Bonk 的所有生态应用,销毁量持续增加。此外,BONK 社区还会定期发起事件驱动的大规模销毁活动,例如去年 12 月圣诞节的“BURNmas”计划,销毁 1.69 万亿枚 BONK(约合 5452 万美元),占 BONK 总供应量(约 92.7 万亿枚)的近 1.8% ;今年 2 月,再次销毁 2.025 万亿枚 BONK(约合 3695.6 万美元)。这些销毁措施不仅增强了投资者信心,也通过减少抛压为价格提供了支撑。


来源:Solscan
在高波动的市场环境下,代币经济学的价值逐渐开始显现,它不再是白皮书里的抽象公式,而是决定项目生死的生存技能。用销毁对抗通胀,SOL 借 SIMD 提案平衡质押与稀缺性时,我们看到通缩机制正从可选策略变为生存刚需。在加密市场的一些时刻,代币经济模型的设计比营销叙事更能决定生死。